一种关于无线局域网中的轴向模螺旋天线设计方案
螺旋天线是一种宽带行波天线,辐射圆极化波。按结构来分有立体螺旋和平面螺旋两种。立体螺旋天线的辐射特性主要取决于螺旋直径D与波长λ的比值。当D/λ<0.18时,天线最大辐射方向垂直于螺旋轴线,称为法向模辐射或基模辐射,而当3/4π
1 轴向模螺旋天线理论及设计
1.1 轴向模螺旋天线理论
螺旋几何结构如图1所示,用来描述螺旋参量的主要有:螺旋直径D、螺旋邻圈之间节距S、螺旋圈数n及螺旋导体直径d。由这些参量推导的其他参量有螺旋周长C=πD、螺旋升角α=arctan(S/(πD))、每圈的长度、螺旋的轴长A=nS。

假设沿辐射轴向模的n圈螺旋天线导体上载有均匀幅度的单向行波,根据方向图乘法原理,其远场方向图等于单圈的方向图乘上一列由n个各向同性点源组成直线阵的阵因子,阵元间距等于螺旋的节距。当螺旋很长(nS/λ>1)时,阵因子锐变远甚于单圈方向图,因而长螺旋的远场方向图可近似取此点源阵方向图。n个各向同性点源组成阵列的阵因子为:

式(5)即为辐射轴向模所要求的圈长与节距的关系,其中m为能使轴向辐射为最大传输模的阶数。当m=1时引入螺旋升角α的得到相对相速:
p=1/[sinα+(cosα/Cλ)] (6)
如果使用增强定向性端射阵的Hansen&Woodyard条件来配置点源相位,则式(4)变为:
φ=-(2πm+π/n) (7)
相对相速p变为:
John D.Kraus通过大量实验验证了3/4

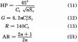
对于3/43单绕轴向模螺旋天线,John D.Kraus通过大量实验和研究得到了一些经验公式,后来经过H.E.King和J.L.Wong修正,得到半功率波束宽度HP、增益G、阻抗R和轴比AR,如下:

1.2 轴向模螺旋天线设计
局域网通信天线设计要求:S11带宽大于100 MHz,增益大于10 dB,半功率波束宽度小于30°,波束内圆极化轴比小于-3 dB。绕制螺旋的导体直径取值范围从0.005λ或更小直至0.05λ或更大。5 GHz对应波长为60 mm,从而d的范围为0.3 mm

2 天线仿真结果及分析
经过细致优化仿真,得到普通螺旋的S11、方向图、轴比分别如图5~图7所示。

分别将三种天线S11、方向图(φ=0°)、轴比(φ=0°)进行了对比,如图8~图10所示。普通螺旋天线带宽极宽,而寄生螺旋结构限制了天线的带宽,但在5 GHz频带上下都有超过100 MHz可用带宽,锥形结构相比普通结构带宽稍宽。对于方向图,带寄生结构普通螺旋半功率波束宽度为25°,增益最高为11.52 dB。普通螺旋波束宽度也为25°,增益稍低为10.6 dB。带寄生结构锥形螺旋天线方向性较差,半功率波束约为宽度30°,增益为8.19 dB。而对于轴比,带寄生结构锥形螺旋天线性能最好,在φ=0°,θ<80°时小于3 dB。另外两种天线在俯仰角θ<30°时轴比小于3 dB。仿真结果与经验公式(11)~式(14)吻合较好。可以应用到无线局域网通信系统中。
3 结语
根据无线局域网通信天线设计要求,设计了三种应用在5 GHz频段的轴向模螺旋天线。其中,普通螺旋天线带宽极宽(3~5.6 GHz),而加绕寄生螺旋天线增益较高,但带宽相比要窄得多,但可以满足大于100 MHz要求,带寄生结构锥形螺旋增益较低,但圆极化特性较好。可以根据更多的应用需求进行选择。
皇捷通讯的gsm天线、wifi天线、uhf天线、vhf天线、电视天线、电子连接器生产线引进日本、中国台湾高端生产设备,保证产品具有稳定、优良的品质。公司生产设备包括注塑成型设备、五金冲压设备、自动组装设备、模具制造设备、RF剥线设备及品质检验设备等。我们拥有高端的技术研发和制造能力,可以根据客户需求定制产品,并调整和提高生产效率。保证稳定、精确的交货期和快速的样品确认。


说点什么
您将是第一位评论人!